脉络膜竟有如此日节律变化!中山大学中山眼科中心文峰教授团队新研究

脉络膜是位于视网膜和巩膜之间的血管层,对视网膜外层的血供至关重要。除了这个关键作用外,脉络膜还承担着重要的生理功能,如通过改变脉络膜厚度来调节视网膜的位置,即在生长过程中调整眼球的形状来矫正近视或远视以及分泌生长因子等。鉴于脉络膜的以上生理功能,其功能障碍可诱发一系列眼部疾病,如中心性浆液性脉络膜视网膜病变(CSC)、葡萄膜炎及新生血管性年龄相关性黄斑变性(nAMD)等。因此,对脉络膜血管的定量评估可以为各种脉络膜视网膜疾病的病理生理学提供有价值的见解。既往研究人员尝试使用各种仪器测量脉络膜厚度(CT)以更好地理解脉络膜异常,如早期研究采用超声检查来测量,但其分辨率受限,难以区分视网膜和脉络膜。随着OCT技术的发展,特别是扫频OCT(SS-OCT)技术的出现,更高的分辨率和更长的波长提供了脉络膜更详实的信息,并能够准确识别脉络膜巩膜界面(CSI),彻底改变了这一过程。 近年来,CT的区域分布越来越受到关注。以往研究显示,CT呈显著的离心率依赖变化模式,脉络膜从旁中心凹向周围逐渐变薄,在黄斑区内,上方CT最厚,其次是颞侧、下方和鼻侧。然而,多数研究主要集中在脉络膜的黄斑区域,特别是中心凹下的脉络膜。鉴于脉络膜的解剖结构与视网膜明显不同,而且大多数脉络膜疾病并不局限于黄斑区域,这些研究较为局限。近年来,广角(WF)SS-OCT的出现促进了涡静脉壶腹近端区域的CT分析,为研究眼睛脉络膜结构开辟了途径。图湃全域扫频OCTA设备,每秒40万次A-Scan扫描速度实现了单次扫描24mm×20mm的高分辨率断层扫描和血管图像,采用自主开发的高阶矩振幅去相关算法(HMADA)与三维反射空间阈值分割算法,实现视网膜、脉络膜的中大血管和毛细血管有效的可视化,并利用图形识别结合人工智能(AI)技术自动分层算法能够对视网膜和脉络膜各层进行精准分层,精确识别眼部结构中的每一层,包括Bruch膜(BM)和脉络膜-巩膜界面,其准确性和可靠性已在Wang et al.和Zhang et al.的研究中得到了验证。
无论是正常动物还是人类受试者,CT都呈现出显著的昼夜波动——夜间增厚,白天变薄。然而,过去探索这种昼夜变化的研究只集中在中心凹下脉络膜厚度(SFCT)上。为了更全面的理解CT昼夜波动,中山大学中山眼科中心由文峰教授领衔的研究团队运用高清、超广角的图湃新一代40万速度全域扫频OCTA技术——北溟·鲲,观察了黄斑区以外的CT日节律变化,在国际期刊《Translational Vision Science & Technology》上发表标题为《Diurnal Variation in Choroidal Parameters Among Healthy Subjects Using Wide-Field Swept-Source Optical Coherence Tomography Angiography》(广角OCTA观察健康眼脉络膜参数的日节律)论文(并列第一作者:何桂琴、张雄泽),评估了健康受试者在广角范围内脉络膜参数的日节律变化,并探讨了脉络膜管腔和基质体积之间的相关性。

图1. 图湃广角WF-OCTA 24 mm x 20 mm扫描图像:右眼(A, B, C, D, E, G, H, I),左眼((F, H, J)。
(A)脉络膜血管图像。(B、C、D)以中心凹为中心的水平B扫描。CT =表示RPE外边界与巩膜界面之间的垂直距离(绿线)。CVV=单位面积脉络膜血管体积比(体积/面积)。(E,F)网格分析,测量以黄斑为中心的9个区域的脉络膜的生理变化:ST=颞上;S=上方;SN=鼻上;T=颞侧;C=中央;T=鼻侧;IT=颞下;I=下方;IN=鼻下。(G、H)同一受试者的脉络膜厚度图。(I、J)来自同一受试者的三维脉络膜血管体积比(CVV)图。
本研究共纳入了21名(4名男性和17名女性)健康受试者的42只眼睛,在暗室下进行OCTA检查,以中心凹为中心获取24 mm×20 mm高清扫描图像(图像质量分数8分以上,以保证最佳扫描质量和确保可比性)。脉络膜血管系统的测量采用标准化方法,通过改进的Littmann-Bennett公式矫正眼轴长度相关的放大误差,确保了本研究人群中对脉络膜血管结构比较的一致和准确。
脉络膜参数包括脉络膜体积(CV)、CT、脉络膜血管体积比(CVV)和脉络膜基质体积比(CSV)。CT是指视网膜色素上皮(RPE)外边界与巩膜界面之间的垂直距离。CV为脉络膜血管体积和脉络膜基质体积的总和。CVV定义为每单位面积(体积/面积)中脉络膜血管的体积,以微米表示。CVV值越高,表示血管量越大。CSV定义为单位面积(体积/面积)中脉络膜基质的体积,以微米为单位测量。设备内置软件将图像划分为9个网格:颞上(ST)、上方(S)、鼻上(SN)、颞侧(T)、中央(C)、鼻侧(N)、颞下(IT)、下方(I)、鼻侧(IN),如图1所示。
表1.一天中不同时间全身和总脉络膜参数概况CSV、脉络膜基质体积比;CT、脉络膜厚度;CV、脉络膜体积;CVV、脉络膜血管体积比;DBP、舒张压;HR、心率;SBP、收缩压;SD、标准差。P<0.05时为显著性*差异。

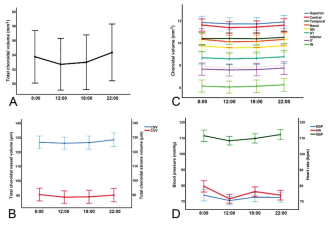
图2. 一天中四个不同时间点全身和脉络膜参数的日节律变化。
(A) 总脉络膜的脉络膜体积日节律变化。(B)总脉络膜的脉络膜血管体积和脉络膜基质体积日节律变化。(C)9个区域脉络膜血管体积日节律变化:ST =颞上;SN =鼻上;T=颞侧;C=中央;N=鼻侧;IT=颞下;I=下方;IN=鼻下。(D)全身参数日节律变化。
全身日节律
结果显示,平均SBP和DBP没有明显的日节律波动(P =0.137和P=0.236)。相反,平均HR有显著的日节律变化(P = 0.001),如表1和图2所示。
眼部日节律
本研究结果证实了脉络膜体积存在显著的日节律变化,在12:00出现低谷,在22:00出现峰值,这一变化趋势与早期研究一致,该研究也发现SBP呈现出相同的日节律变化趋势。并且,所有9个区域的脉络膜体积的变化与总脉络膜体积的变化相对应。此外,颞上、鼻上、颞上、鼻侧、颞下、鼻下区域CV的波动与CVV变化的相关性比与相应区域的CSV的相关性更强。
既往一些对脉络膜的研究所采用的方法都存在其局限性,而本研究采用的图湃全域扫频OCTA技术,使用设备内置软件进行图像分析,能够有效检测Sattler’s和Haller’s层组织信号差异,有助于信号增强和消除伪影,实现这些组织层血管模式的稳健重建。值得注意的是,该软件算法在准确检测脉络膜-巩膜界面方面优于现有其他算法。由于数据是三维的,能够对脉络膜血管进行三维定量分析,提供了一种有效的方法来获得可靠的数据,无需进行二次处理步骤。
以往对CT昼夜变化的研究显示出不同的结果。Tan等人研究显示,CT早上最厚,全天变薄,下午5点达到最薄。相比之下,Chakraborty等人连续2天以上的报告显示,CT在中午12点最薄,在下午6点最厚。Kinoshita等人发现CT在早上6点最厚,在下午3点最薄,在晚上增厚。Usui等人也发现脉络膜在夜间变厚。这些发现得到了动物研究的有力支持,包括涉及雏鸡和普通绒猴的研究,强调了CT的昼夜变化,本研究也进一步证实了这一现象。此外,本研究还检测到总CV和中央CV、CVV和CSV的显著日节律变化。与早期主要集中在黄斑区域上的研究相一致,本研究发现中央CV改变与管腔面积改变显著相关。Kinoshita等人首次报道了CT的昼夜变化归因于管腔区域,而不是基质区域。本研究发现在颞上、鼻上、颞侧、鼻侧、颞下和鼻下区域也有类似的趋势,这些区域在涡静脉中非常丰富。研究者认为这种区域差异与脉络膜静脉血管的分布有关,在脉络膜静脉血管密度较高的区域(ST、S、SN、SN、C、N)有明显的日节律节律,而在脉络膜静脉血管密度较少的区域,这种节律不明显。以上研究发现,强调了脉络膜血管在这些变化中的关键作用。
先前的研究表明,血压在清晨达到峰值,并在一天中逐渐下降。其他针对人类和动物的研究都报告了血压峰值的不同时间。本研究结果显示,SBP在12:00时最低,在22:00时最高,这表明血压的昼夜节律受到内源性生物钟的调控。此外,这些波动还与各种因素有关,包括身体活动和白大褂效应。有趣的是,血管平滑肌收缩和血管收缩的变化也有助于血压的昼夜节律。考虑到平滑肌细胞是血管系统的重要组成部分,SBP趋势与CV等一致是可以解释的。此外,心脏周期的持续时间与心率呈负相关。随着心率的增加,心脏周期缩短,影响收缩期和舒张期,舒张期的减少更明显。因此,从主动脉流向外周的血流量减少,导致主动脉内保留的血容量增加,从而显著提高了舒张压。然而,血压升高加速了血流,导致收缩期输送到周围的血容量增加,从而使收缩压的升高相对较小。因此,心率的变化主要影响舒张压,这与本研究中观察到的心率与舒张压变化之间的一致性相一致,也与以往的文献报道相一致。
调节人类生物钟的内部“振荡器”是视交叉上核,它处理外部信号,如环境光信息和来自大脑的输入,调节昼夜节律功能,包括体温、睡眠/觉醒周期,以及褪黑激素等激素的分泌。昼夜节律时钟也存在于心肌细胞、血管平滑肌细胞、和内皮细胞中。此外,环境因素与内在生物钟机制之间的复杂互动可能导致节律的不同步,如改变饮食或睡眠模式,或在夜间接触光线,都可能干扰这种同步性,这就解释了在本研究中观察到的HR和CV之间节律变化的一致性。
在过去的几十年里,大量的研究建立了CT和各种之间的相关因素,包括性别、年龄、眼轴长度、眼压、体重指数和补充因子H遗传因素。值得注意的是,研究发现CT和日常现象之间有趣的联系,如咖啡消费或禁食;男性的CT通常厚于女性,并且男性的昼夜变化更为显著。Ding等人的研究表明,在60岁及以上的受试者中,SFCT与年龄呈显著负相关。在不同的背景下,Nickla等人发现CT和AL都表现出独立于光照和黑暗条件的内源性昼夜节律。这一发现强调了AL和CT变化之间的负相关。此外,以往的研究表明,鸡巩膜中蛋白多糖的合成存在昼夜节律,在傍晚达到峰值,在清晨达到低点。Debora等人提出CT变化的可能机制,其中一种假设是大分子、渗透活性蛋白多糖的合成能够吸收水分,从而导致CT的增厚。重要的是,本研究显示CV的昼夜节律不受AL、年龄、SD和性别等因素的影响,这表明CV的内在调节是独立于这些通常研究的眼部和人口统计学因素的。
研究结论认为,通过采用图湃全域扫频OCTA技术提供的24mmX20mm脉络膜血流图像,观察到横跨9个区域的脉络膜参数的日节律,在22:00达到峰值,在12:00达到最低值。此外,脉络膜血管系统较多的区域表现出更多的脉络膜体积变化,主要是脉络膜管腔成分而不是基质成分的波动。医学领域的科学和技术应用的快速发展大大促进了医学的发展,图湃全域扫频OCTA技术的出现有助于理解脉络膜,并可能影响如何处理脉络膜疾病。
第一作者

张雄泽
中山大学中山眼科中心
中山大学中山眼科中心教授,眼科学博士,副主任医师,从事眼底疾病的诊疗和基础研究工作,主持国家自然科学基金项目2项,发表SCI论文60余篇。中国微循环学会眼科专业委员会眼影像学组 委员兼秘书,广东省眼健康协会眼底病专委会副主委。

何桂琴
中山大学中山眼科中心
中山大学中山眼科中心博士。主要研究方向为正常眼与肥厚脉络膜谱系疾病的多模式影像学与临床诊疗。于IOVS、TVST及Ophthalmology Retina等期刊发表中英文学术论文共13篇,其中第一作者7篇;荣获中华眼科杂志主办的2022“朗视界 沐光明”病例演讲大赛一等奖、团队一等奖;多次参加全国性会议并发言。
通讯作者

文峰
中山大学中山眼科中心
中山大学中山眼科中心教授,主任医师,博士生导师,眼科学国家重点实验室课题组负责人(PI);中国微循环学会眼影像学组主委、一带一路眼科联盟副主席、世界中医药联合会眼科专委会副会长、广东省视光学学会眼底影像专委会主委;在PCV、PIC及眼底影像的临床研究上具有创新性成果;担任人民卫生出版社出版的“图说眼科系列”丛书总主编,承担国家973项目及国家自然科学基金项目;科研成果“国人息肉状脉络膜血管病变的临床与基础系列研究”遴选为近5年中国眼底病十大进展(2014年);以第一完成人荣获教育部科技进步一等奖。文峰教授在眼底病领域的创新性成果获得了国内外同行的广泛赞许与认可。
原文作者:
何桂琴,张雄泽(并列第一作者)、文峰(通讯作者),中山大学中山眼科中心
新闻编辑:龚露,图湃医疗
内容校对:周健,图湃医疗